Hi, I'm Jason

I am a PhD candidate in Finance at INSEAD, based in the Fontainebleau campus. Starting this fall, I will be joining SKEMA Business School as an Assistant Professor of Finance.

Research: My main research area is Corporate Investment. I also work on related topics in capital budgeting and capital structure.

Email: jason.kang@insead.edu

[CV]
Jason Kang

Working Papers

Firms face a fundamental trade-off between flexibility and specialization when investing in new employees, equipment and technology. I develop a model in which production inputs differ in the specificity of their use: specific inputs can produce only a single good, while general inputs can produce one of many different goods. General inputs give the firm an option to reallocate assets in the future. The model shows how the expected time of exercise and price of risk attached to this reallocation payoff jointly determine the optimal investment composition. Contrary to conventional wisdom, the model predicts that firms operating in more volatile environments (1) invest more overall and (2) invest more in specific assets. I test and confirm these predictions for human, physical, and knowledge capital in a sample of U.S. firms. Using novel measures of skill specificity derived from job postings, I further show that the relationship between risk and investment specificity varies systematically with proxies for the cost of reallocating workers across geographies and business segments, consistent with the model.

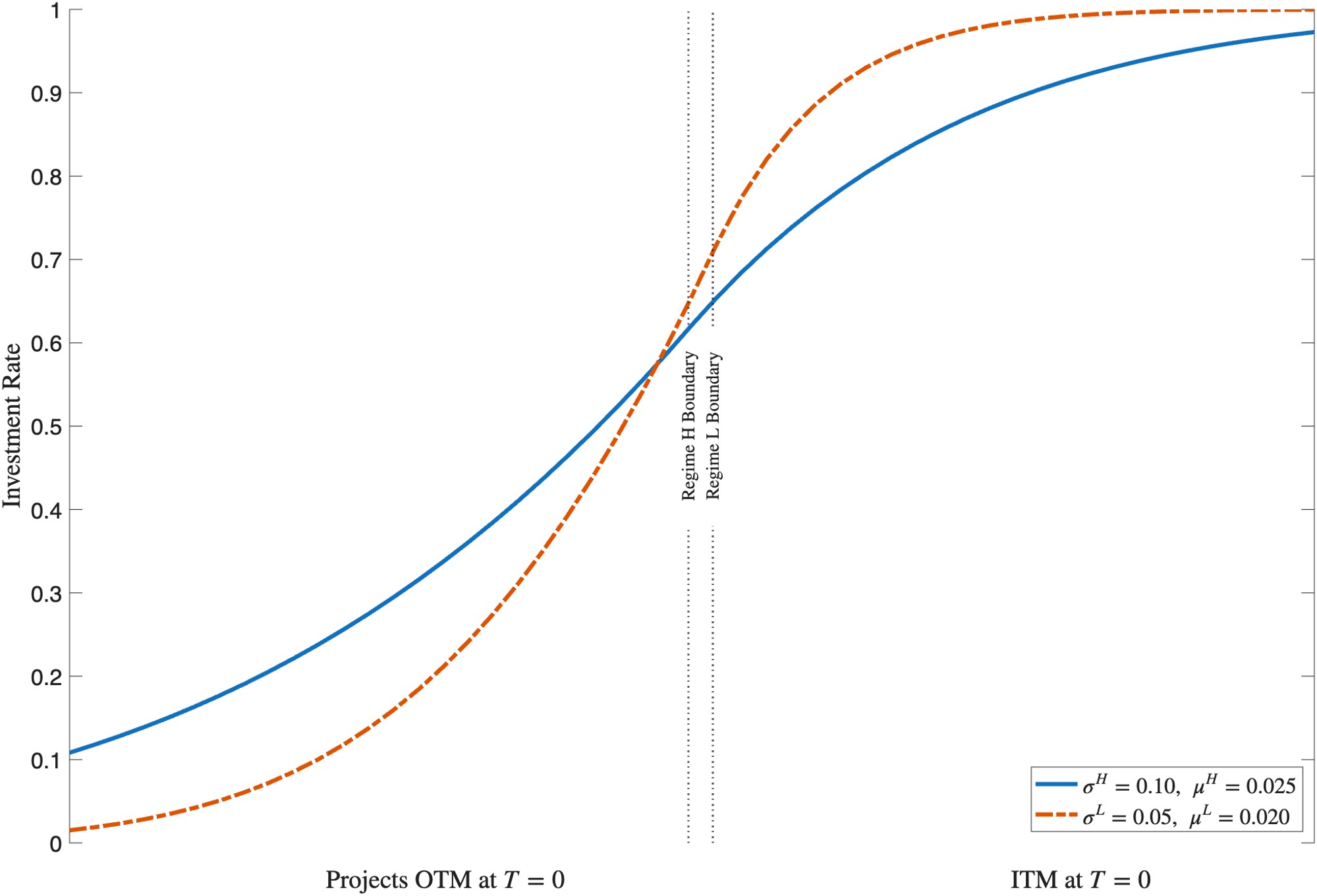
Does uncertainty increase or decrease investment? Empirical evidence remains decidedly mixed, both in the time-series and in the cross-section. I present a dynamic model of investment that unifies these seemingly conflicting facts. Central to the analysis, I use a new statistic--the distance to investment--which measures how close a project is to having a positive net present value. I derive closed-form expressions for optimal investment under stochastic volatility and find three main results. (1) Over a fixed time horizon, high average uncertainty is associated with higher investment if the initial distance is ``far'', but lower investment if the distance is ``close''. (2) Uncertainty shocks increase investment only when they coincide with higher expected growth rates. (3) In general equilibrium, an uncertainty shock can raise investment during economic contractions, contrary to the partial-equilibrium intuition.

Does Financial Slack Make Firms More Risk-Averse?

I study a risk-averse entrepreneur financed by perpetual debt who dynamically chooses between risky and safe investment projects. I derive the entrepreneur's optimal portfolio choice with intermediate consumption, savings, and endogenous default. If the return on the safe project always exceeds debt repayment, I show that the entrepreneur's portfolio share in the risky project is a nonmonotonic function of financial slack. Importantly, due to the concavity of the entrepreneur's utility function, it becomes impossible to incentivize the entrepreneur to take on risky projects with sufficient savings. The model generates predictions on risky project choice during the lifecycle of new firms.

Less Active

I study a competitive equilibrium populated by a generalist and two specialists. There are two Lucas trees with output correlation, and two signals on the conditional growth rate of each tree. While the generalist uses two signals to infer the conditional mean of both trees, specialists each use one signal, albeit with higher precision, to learn about both trees - since output is correlated. I find that when precision is low, the generalist eventually vanishes from the market due to an inability to hold decisive trade positions; as the generalist is always sandwiched between two aggressive specialists, the information advantage of knowing many things depends on sufficiently high ``skill'' or precision of the generalist.